El uso de tiempos de pasado en la construcción de la temporalidad en español L2 en niveles avanzados de competencia
Palabras clave:
español lengua extranjera, estructura temporal, aspecto léxico, pretérito imperfecto, pretérito indefinidoResumen
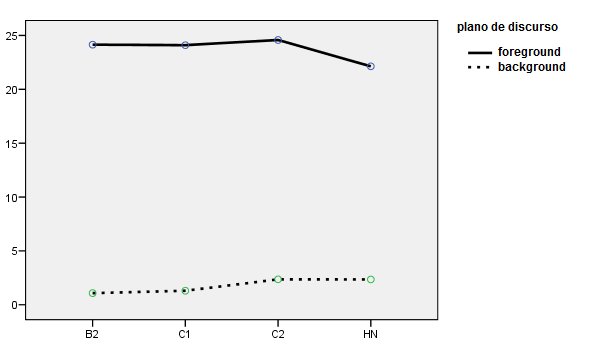
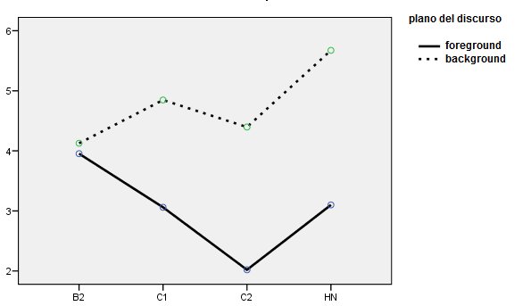
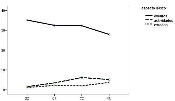
El objetivo de este trabajo es describir los rasgos que caracterizan el uso de los tiempos de pasado imperfecto e indefinido en español por parte de aprendices rusohablantes de nivel avanzado en situación de aprendizaje formal. Los datos analizados provienen de una tarea de producción escrita semiespontánea a partir de un estímulo audiovisual. El análisis de los resultados se aborda desde las categorías de la estructura narrativa y el aspecto léxico del verbo, con la intención de identificar su efecto en el uso de estos dos tiempos verbales. Los resultados revelan una preferencia unívoca por la actualización de los verbos a partir de combinaciones prototípicas entre aspecto gramatical, léxico y discursivo. Los niveles más altos de competencia muestran un dominio equivalente al nativo en el uso de imperfecto e indefinido a la hora de narrar eventos en pasado.
Archivos adicionales
Publicado
Cómo citar
Número
Sección
Licencia
Aquellos autores que tengan publicaciones con esta revista, aceptan los términos siguientes:
- Los autores conservarán sus derechos de autor y garantizarán a la revista el derecho de primera publicación de su obra por medio de este documento de cesión de derechos de autoría, el cuál estará simultáneamente sujeto a la licencia de reconocimiento de Creative Commons que permite a terceros compartir la obra siempre que se indique su autor y su primera publicación esta revista.
- Los autores podrán adoptar otros acuerdos de licencia no exclusiva de distribución de la versión de la obra publicada (p. ej.: depositarla en un repositorio institucional o publicarla en un volumen monográfico) siempre que se indique la publicación inicial en esta revista.
- Se permite y recomienda a los autores difundir su obra a través de Internet (p. ej.: en publicaciones institucionales o en su página web) antes y durante el proceso de envío, lo cual puede producir intercambios interesantes y aumentar las citas de la obra publicada. (Véase el efecto del acceso abierto).







